Carta spesa e benzina 2026 Inps: 500 euro per ridurre le spese! Scopri quando arriva e come richiederla

Carta spesa e benzina 2026 Inps: 500 euro per ridurre le spese! Scopri quando arriva e come richiederla

Arriva un nuovo aiuto per le famiglie italiane: la Carta Dedicata a Te 2026, conosciuta anche come “carta spesa e benzina”, sta per essere ricaricata. L’obiettivo è semplice ma importante — sostenere i nuclei familiari con un contributo di 500 euro per affrontare l’aumento dei prezzi su alimentari e carburante. Scopri di seguito quando arriva … Leggi tutto

Bonus 500€, Carta Dedicata a Te 2026: in arrivo da ottobre 2026, ma solo per alcune famiglie

Bonus 500€, Carta Dedicata a Te 2026: in arrivo da ottobre

Il Governo ha confermato la Carta Dedicata a Te 2026, cioè una carta elettronica prepagata da 500 euro, che si riceve una sola volta. Comunque, rispetto al 2024, le famiglie che avranno il bonus saranno di meno. Infatti, il decreto è stato firmato nei primi giorni di agosto dai ministeri responsabili e la distribuzione della … Leggi tutto

Aumento Pensione Minima 2026: 260 all’anno per Invalidi Minimi e Maggiorazioni Sociali

Aumento Pensione Minima 2026: 260 all’anno

A partire da gennaio 2026, ci sarà un nuovo aumento della pensione minima 2026, comprese quelle minime. L’aumento arriva grazie alla rivalutazione annuale, cioè quel meccanismo che aggiorna gli importi delle pensioni in base all’andamento dei prezzi e al costo della vita. In pratica, chi percepisce una pensione più bassa riceverà qualche euro in più … Leggi tutto

Tutti i bonus 2026 per chi ha un ISEE fino a 15.000 euro: luce, gas, Carta “Dedicata a te” e nuovi nati

Tutti i bonus 2026 per chi ha un ISEE fino a 15.000 euro: luce, gas, Carta “Dedicata a te” e nuovi nati

Con l’inizio del 2026, il sistema dei bonus statali per le famiglie con redditi medio-bassi viene aggiornato. Infatti, il Governo ha confermato molti aiuti già esistenti e introdotto regole più vantaggiose per il calcolo dell’ISEE, permettendo a un numero maggiore di famiglie di accedere ai sostegni economici. I contributi riguardano diverse aree fondamentali della vita … Leggi tutto

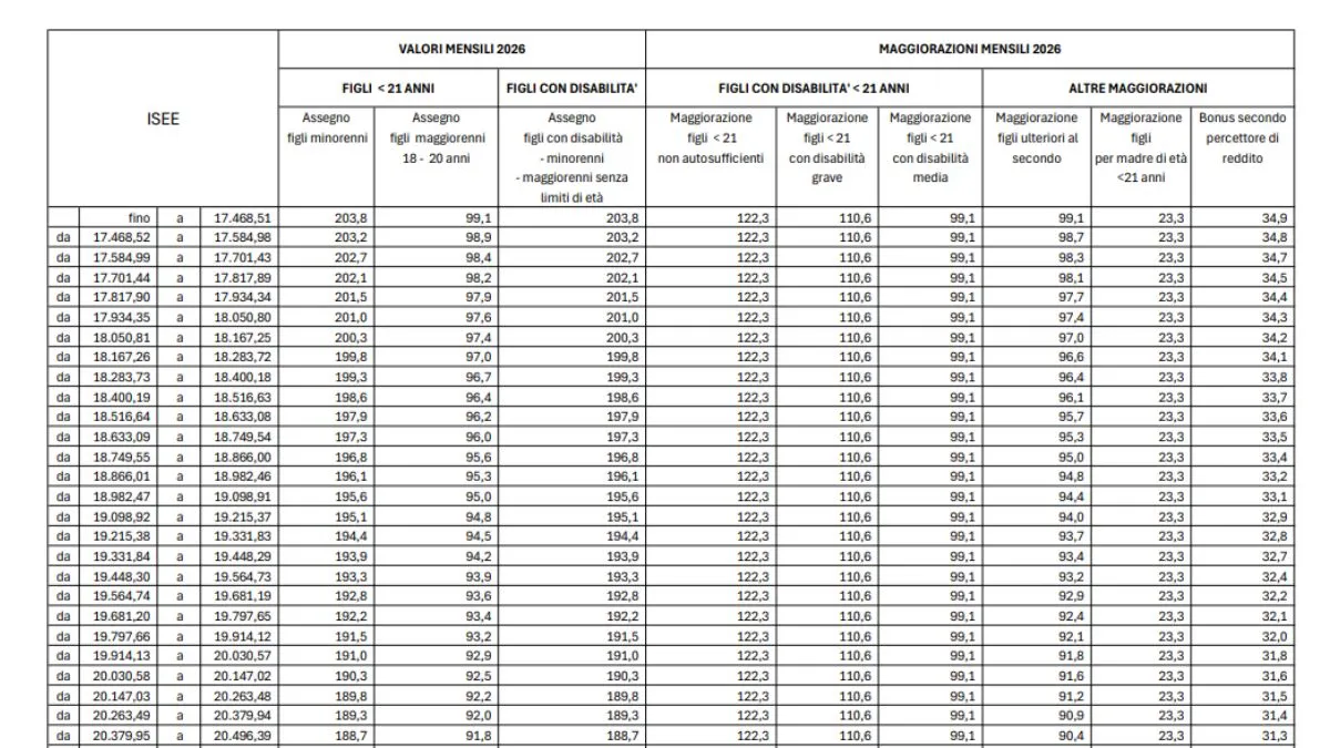
Tabella Assegno Unico 2026 PDF: Tutti Nuovi Importi e Nuove Maggiorazioni – Circolare Inps

Tabella Assegno Unico 2026 Pdf: Tutti Nuovi Importi e Nuove Maggiorazioni - Tabella Inps

L’Assegno Unico 2026 (AUU), come ogni anno, sarà aggiornato dall’INPS in base all’aumento del costo della vita, cioè all’indice dei prezzi al consumo calcolato dall’Istat per le famiglie di operai e impiegati. Tra altro Se volete restare sempre aggiornati vi invitiamo ad iscrivervi al nostro canale Whatsapp e al canale Telegram. Dunque, dal 1° gennaio 2026, gli importi e … Leggi tutto

Al via le ricariche della Carta Dedicata a Te 2026 da 500 euro – Ecco come verificare

Al via le ricariche della Carta Dedicata a Te 2025 da 500 euro - Ecco come verificare

Sono ufficialmente ripartite le ricariche della Carta Dedicata a Te 2025, il contributo economico destinato alle famiglie con redditi bassi per l’acquisto di beni alimentari di prima necessità. Le prime segnalazioni di accrediti sono arrivate nella serata di ieri, ma – come avviene di consueto – non tutti i beneficiari hanno ricevuto il pagamento nello … Leggi tutto

Carta Solidale “Dedicata a Te” 2025: Al via le Verifiche Online – Ecco il LINK per controllare se hai diritto o no

Carta Solidale “Dedicata a Te” 2025: Al via le Verifiche Online – Ecco il LINK per controllare se hai diritto o no

A partire da giovedì 31 ottobre 2025 e fino al 16 dicembre 2025, i cittadini potranno verificare online se hanno diritto alla Carta Solidale “Dedicata a Te”, il contributo economico pensato per aiutare le famiglie con redditi medio-bassi nell’acquisto di beni alimentari di prima necessità. Attraverso il portale ufficiale è possibile scaricare e stampare la … Leggi tutto

Tutti i Pagamenti INPS Marzo 2026: Nuove Date, Assegno Unico, ADI, Naspi e Carta Acquisti 80 euro

Tutti i Pagamenti INPS Marzo 2026: Nuove Date, Assegno Unico, ADI, Naspi e Carta Acquisti 80 euro

Con l’arrivo del nuovo anno, Marzo 2026 è appunto il mese più importante per i pagamenti INPS. È un periodo che milioni di italiani aspettano, perché dipendono da pensioni, sussidi e bonus per tenere in equilibrio il bilancio familiare. Dunque, vediamo insieme Tutti i Pagamenti INPS Marzo 2026 di Assegno Unico Universale, Assegno di Inclusione … Leggi tutto

Confermata “Carta Dedicata a Te” 2026 INPS: Ricarica da 500 Euro Quando arriva, Chi Ne Ha Diritto e Chi No

Confermata "Carta Dedicata a Te" 2026 INPS: Ricarica da 500 Euro Quando arriva, Chi Ne Ha Diritto e Chi No

La Carta Dedicata a Te 2026 torna protagonista con una nuova ricarica da 500 euro pronta ad arrivare entro la fine di ottobre 2026. L’INPS, infatti, ha già trasmesso ai Comuni gli elenchi dei beneficiari, aprendo così la fase conclusiva delle verifiche. Si avvicina quindi il momento dell’accredito per migliaia di famiglie italiane, ma non … Leggi tutto

Pagamento Assegno di Inclusione Aprile 2026: Ecco il calendario INPS con 3 date

Pagamento Assegno di Inclusione Aprile 2026

In un periodo in cui l’economia è ancora incerta dopo la pandemia e con prezzi che cambiano spesso, l’Assegno di Inclusione (ADI) è ancora un aiuto molto importante per tante famiglie italiane che si trovano in difficoltà. Ma quando arriva il pagamento dell’Assegno di Inclusione Aprile 2026? Secondo le ultime informazioni ufficiali dell’INPS, il calendario … Leggi tutto